II. 複雑工学システムの設計論とその応用
非線形な要素が複雑なネットワーク構造により結合された複雑工学システムに対しては、従来の線形システムに対する解析法や設計法が有効でなくなってきています。しかし、現在、社会のほとんどのシステムは複雑工学システムである言っても過言ではありません。そこで、複雑工学システムに対する解析法や設計法についての研究が進んでいます。
我々は複雑工学システムに有効な設計手法として、数理的に性能を保証し、さらに、不確かさを利用する設計パラダイムを提案しました。
その例の一つが、I-1.で挙げたダイナミクス/アルゴリズム 無意識/意識 ハイブリッドコンピュータの設計の際に用いた、素子の不均一性(バラツキ)やノイズを活用する手法です。提案手法により、ハードウェアの小型化に成功した上、性能を向上させることにも成功しました。
もう一つの例が、II-1.で説明する黄金比エンコーダ(analog-to-digital converter (ADC))回路です。これは、実数の実数値基底による展開であるβ展開を表すβ写像に基づくβ変換を応用した回路で、数理的に、閾値の変動やノイズなどにロバストであることが保証されています。この性質をうまく生かすことで、温度変動やで電源電圧変動、プロセス変動などに対してロバストなADCを作ることが、特性の良くない半導体プロセスを用いても可能になりました。
さらに、設計パラメータが多いうえ、それらの相互関係が複雑な場合の例として、蝸牛の伝送線路モデル回路の最適化手法を用いた設計手法の研究も行っています(II-2.)。

II-1. 黄金比A/Dコンバータ(GRE)集積回路

II-2. 蝸牛の伝送線路モデル回路の設計
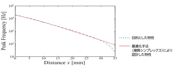
蝸牛は聴覚系の抹消器官で、音を神経信号に変換する重要な器官です。この蝸牛の特性を良く再現する数理モデルとして、無反射伝送線路モデルが提案されています。しかし、その回路パラメータ間の関係が複雑なため、これらを定量的に設計する方法がありませんでした。
そこで我々は、キーとなるパラメータを数式で与えると共に、これらを最適化手法によって設計する方法を提案しました。
受動モデルで再現すべき蝸牛の生理学的特徴を定式化し,目的関数に適用し、滑降シンプレックス法を用いて、パラメータ値を設計